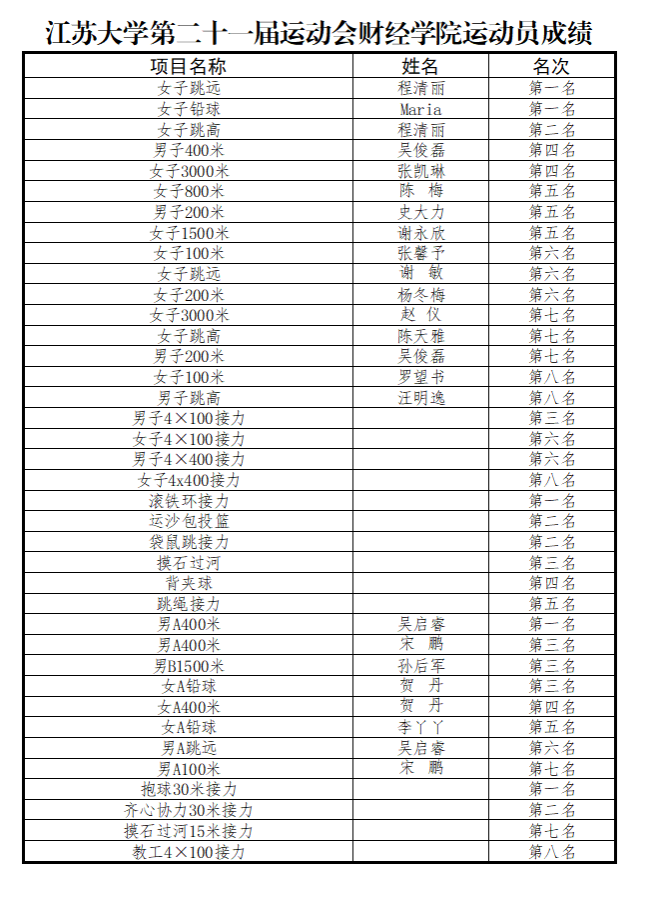
我校第二十一届运动会于11月11日至12日顺利召开,在学院党委、行政的正确指导下,运动员们团结一心、奋勇争先,我院荣获体育道德风尚奖,学生团队获得田径比赛团体总分第二、教工取得总分第三的可喜成绩!

运动会上,运动健儿们奋力拼搏,勇往直前。在田径项目中,我院获五枚金牌,四枚银牌,五枚铜牌,多个项目跻身前八,实现重大突破。趣味项目中,参赛队员们再创佳绩,斩获滚铁环接力、抱球30米接力第一名,运沙包投篮、袋鼠跳第二名、齐心协力30米接力第二名,摸石过河第三名,背夹球接力第四名,双人跳绳接力第五名!

接下来,我院将继续团结奋进,积极组织全民健身活动,将“更快、更高、更强、更团结”的体育精神,融入到日常的学习和工作中!